Database: Wind Shock Analysis
Event ID: 20132201355
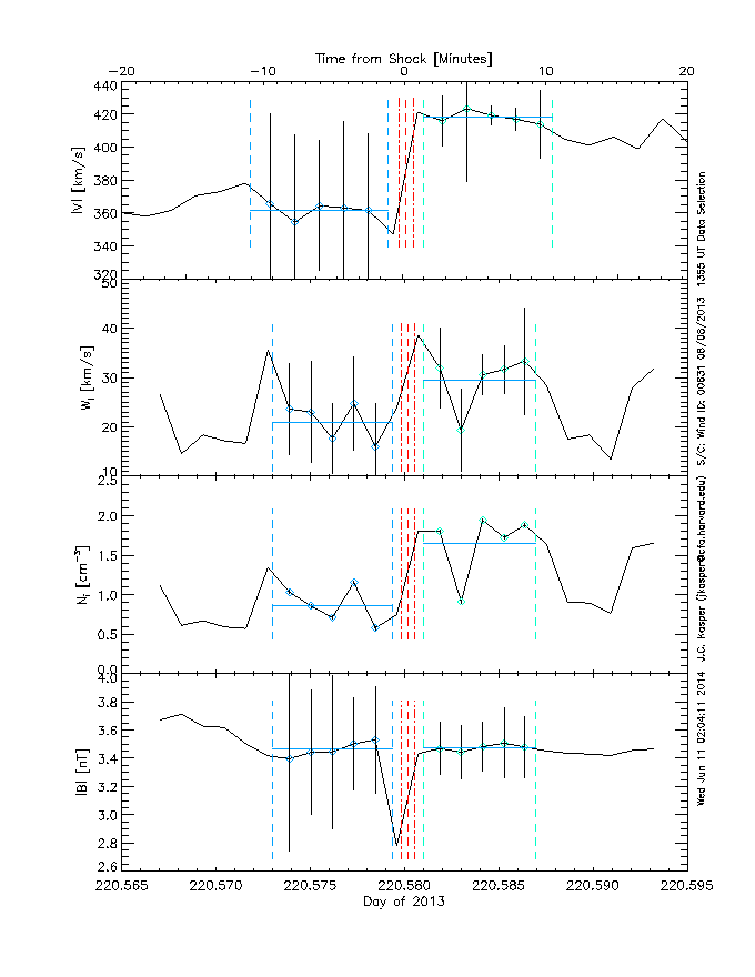
Observation time: 08/08/2013 220.58019 1355 [UT]
|

|
General
Information (About, Top)
| Year |
2013 |
| Fractional day of year |
220.580191 |
| Arrival time of shock [seconds of day] |
50128.5 ± 30.0 |
| Shock type |
NN |
| Electron data availability |
0 |
X GSE location of spacecraft [Re] |
195.790 |
| Y GSE location of spacecraft [Re] |
61.302 |
| Z GSE location of spacecraft [Re] |
-24.806 |
| Upstream plasma points selected for analysis |
0005 |
| Upstream field points selected for analysis |
0184 |
| Downstream plasma points selected for analysis |
0005
|
| Downstream field points selected for analysis |
0172 |
| Minimum chisq/dof for RH8,RH9,RH10 |
8.41, 9.46, 14.85 |
Event added to database
|
Tue Jun 10 22:50:12 2014
|
Event last processed
|
Wed Jun 11 02:06:17 2014
|
Method selected
|
RH08
|
Propagation delay to Earth [minutes]
|
2.873 ± 3.801
|
Asymptotic
plasma
parameters (About, Top)
|
Parameter
|
Upstream
|
Downstream
|
| Vx GSE [km/s] |
-360.9 ± 4.5 |
-417.0 ± 3.3 |
| Vy GSE [km/s] |
-20.6 ± 1.6 |
-25.2 ± 6.6 |
| Vz GSE [km/s] |
-5.9 ± 12.3 |
-10.3 ± 3.3 |
| Wi [km/s] |
21.0 ± 3.9 |
29.3 ± 5.7 |
| We [km/s] |
663.8 ± 123.8 |
928.1 ± 180.5 |
| Ni [n/cc] |
0.9 ± 0.2 |
1.7 ± 0.4 |
| Bx GSE [nT] |
-2.5 ± 0.2 |
1.2 ± 0.1 |
| By GSE [nT] |
2.3 ± 0.2 |
3.2 ± 0.0 |
| Bz GSE [nT] |
0.1 ± 0.3 |
0.2 ± 0.3 |
Plasma Beta
|
0.074 ± 0.081
|
0.270 ± 0.314
|
Sound Speed [km/s]
|
27.10 ± 5.05
|
37.89 ± 7.37
|
Alfven Speed [km/s]
|
83.13 ± 12.51
|
60.64 ± 10.17
|
Best values of
shock
front normal for each method (About, Top)
| Method |
Nx |
Ny |
Nz |
Theta [degrees] |
Phi [degrees] |
| MC |
-0.236 ± 0.038 |
0.971 ± 0.010 |
0.043 ± 0.043 |
2.44 ± 3.70 |
103.64 ± 2.26 |
| VC |
-0.994 ± 0.018 |
-0.075 ± 0.099 |
-0.080 ± 0.080 |
-4.59 ± 11.75 |
184.31 ± 5.69 |
| MX1 |
-0.241 ± 0.037 |
0.967 ± 0.011 |
0.080 ± 0.080 |
4.61 ± 4.19 |
104.00 ± 2.17 |
| MX2 |
-0.231 ± 0.042 |
0.973 ± 0.010 |
0.011 ± 0.011 |
0.62 ± 7.56 |
103.35 ± 2.46 |
| MX3 |
-0.537 ± 0.763 |
0.827 ± 0.503 |
0.169 ± 0.167 |
9.73 ± 39.47 |
123.00 ± 52.71 |
| RH08 |
-0.296 ± 0.008 |
0.949 ± 0.007 |
0.106 ± 0.106 |
6.09 ± 3.82 |
107.30 ± 0.49 |
| RH09 |
-0.296 ± 0.015 |
0.949 ± 0.009 |
0.106 ± 0.106 |
6.09 ± 4.66 |
107.30 ± 0.87 |
| RH10 |
-0.296 ± 0.032 |
0.951 ± 0.012 |
0.084 ± 0.084 |
4.81 ± 4.49 |
107.30 ± 1.90 |
| Average |
-0.391 |
0.814 |
0.065 |
3.726 |
117.524 |
| Median |
-0.296 |
0.951 |
0.084 |
4.807 |
107.298 |
| Deviation |
0.263 |
0.362 |
0.075 |
4.304 |
27.723 |
Key shock
parameters (About, Top)
| Method |
ThetaBn |
Shock Speed |
Compression |
| MC |
34.1 ± 5.0 |
84.2 ± 2.7 |
2.06 ± 0.91 |
| VC |
47.3 ± 5.1 |
471.1 ± 51.7 |
2.06 ± 0.91 |
| MX1 |
33.8 ± 5.0 |
86.1 ± 2.5 |
2.06 ± 0.91 |
| MX2 |
34.3 ± 5.0 |
82.6 ± 3.0 |
2.06 ± 0.91 |
| MX3 |
17.4 ± 4.8 |
230.5 ± 16.7 |
2.06 ± 0.91 |
| RH08 |
30.8 ± 4.9 |
112.2 ± 3.1 |
2.06 ± 0.91 |
| RH09 |
30.8 ± 4.9 |
112.2 ± 3.1 |
2.06 ± 0.91 |
| RH10 |
30.6 ± 4.9 |
112.5 ± 14.9 |
2.06 ± 0.91 |
| Average |
32.4 |
161.4 |
2.06 |
| Median |
33.8 |
112.2 |
2.06 |
| Deviation |
8.1 |
134.1 |
0.00 |
Upstream wave speeds
and
mach numbers (About, Top)
|
Method
|
dV
|
Slow
|
Intermediate
|
Fast
|
Slow
Mach
|
Fast
Mach
|
| MC |
19.4 ± 0.4 |
21.9 ± 3.9 |
68.9 ± 10.4 |
84.8 ± 11.7 |
0.91 ± 0.19 |
0.23 ± 0.03 |
| VC |
110.3 ± 4.2 |
17.7 ± 3.0 |
56.4 ± 8.5 |
85.8 ± 11.3 |
6.39 ± 1.19 |
1.30 ± 0.15 |
| MX1 |
19.5 ± 0.2 |
22.0 ± 3.9 |
69.0 ± 10.4 |
84.8 ± 11.7 |
0.91 ± 0.17 |
0.23 ± 0.03 |
| MX2 |
19.4 ± 0.8 |
21.9 ± 3.8 |
68.7 ± 10.3 |
84.8 ± 11.7 |
0.91 ± 0.21 |
0.23 ± 0.02 |
| MX3 |
54.8 ± 2.4 |
25.7 ± 4.7 |
79.3 ± 11.9 |
83.6 ± 12.3 |
2.19 ± 0.39 |
0.67 ± 0.10 |
| RH8 |
25.7 ± 0.7 |
22.8 ± 4.0 |
71.4 ± 10.7 |
84.5 ± 11.8 |
1.15 ± 0.21 |
0.31 ± 0.04 |
| RH9 |
25.7 ± 0.7 |
22.8 ± 4.0 |
71.4 ± 10.7 |
84.5 ± 11.8 |
1.15 ± 0.21 |
0.31 ± 0.04 |
| RH10 |
25.7 ± 0.5 |
22.9 ± 4.1 |
71.5 ± 10.8 |
84.5 ± 11.8 |
1.15 ± 0.22 |
0.31 ± 0.04 |
| Average |
37.5 |
22.2 |
69.6 |
84.7 |
1.8 |
0.4 |
| Median |
25.7 |
22.8 |
71.4 |
84.8 |
1.2 |
0.3 |
| Deviation |
31.6 |
2.2 |
6.3 |
0.6 |
1.9 |
0.4 |
Downstream wave speeds
and
mach numbers (About, Top)
|
Method
|
dV
|
Slow
|
Intermediate
|
Fast
|
Slow
Mach
|
Fast
Mach
|
| MC |
10.8 ± 5.9 |
28.5 ± 4.7 |
50.2 ± 8.4 |
66.0 ± 7.9 |
0.42 ± 0.34 |
0.16 ± 0.06 |
| VC |
54.0 ± 3.5 |
22.5 ± 3.4 |
41.1 ± 6.9 |
68.4 ± 7.1 |
2.44 ± 0.29 |
0.80 ± 0.11 |
| MX1 |
10.7 ± 5.8 |
28.6 ± 4.7 |
50.4 ± 8.4 |
66.0 ± 7.9 |
0.42 ± 0.34 |
0.16 ± 0.06 |
| MX2 |
10.9 ± 5.9 |
28.4 ± 4.6 |
50.1 ± 8.4 |
66.1 ± 7.9 |
0.43 ± 0.35 |
0.16 ± 0.06 |
| MX3 |
29.2 ± 4.4 |
34.8 ± 6.3 |
57.9 ± 9.7 |
62.6 ± 9.3 |
0.89 ± 0.36 |
0.47 ± 0.03 |
| RH8 |
13.9 ± 5.6 |
29.9 ± 5.0 |
52.1 ± 8.7 |
65.3 ± 8.2 |
0.51 ± 0.34 |
0.21 ± 0.05 |
| RH9 |
13.9 ± 5.6 |
29.9 ± 5.0 |
52.1 ± 8.7 |
65.3 ± 8.2 |
0.51 ± 0.34 |
0.21 ± 0.05 |
| RH10 |
13.8 ± 5.6 |
30.0 ± 5.0 |
52.2 ± 8.8 |
65.3 ± 8.2 |
0.50 ± 0.34 |
0.21 ± 0.05 |
| Average |
19.7 |
29.1 |
50.8 |
65.6 |
0.8 |
0.3 |
| Median |
13.9 |
29.9 |
52.1 |
66.0 |
0.5 |
0.2 |
| Deviation |
15.1 |
3.4 |
4.6 |
1.6 |
0.7 |
0.2 |
Survey interval (About, Top)

Selected
data (About, Top)
|
Key plasma parameters

|
Velocity

|
Magnetic Field
|
Simple
Methods
(About, Top)
Rankine Chi^2
Contour (About, Top)
Shock
Speed (About, Top)

Theta Bn (About, Top)

Mach Numbers (About, Top)
Page updated Fri Jun 13 11:06:02 2014
Michael L Stevens
(mstevens@cfa.harvard.edu)
|