Database: Ace Shock Analysis
Event ID: 20002770008
Observation time: 10/03/2000 277.00584 0008 [UT]
|

|
General
Information (About, Top)
| Year |
2000 |
| Fractional day of year |
277.005845 |
| Arrival time of shock [seconds of day] |
505.0 ± 16.0 |
| Shock type |
FF |
| Electron data availability |
0 |
X GSE location of spacecraft [Re] |
0.035 |
| Y GSE location of spacecraft [Re] |
-0.005 |
| Z GSE location of spacecraft [Re] |
-0.001 |
| Upstream plasma points selected for analysis |
0006 |
| Upstream field points selected for analysis |
0028 |
| Downstream plasma points selected for analysis |
0006
|
| Downstream field points selected for analysis |
0027 |
| Minimum chisq/dof for RH8,RH9,RH10 |
1.81, 3.93, 4.11 |
Event added to database
|
Sat Apr 30 21:47:54 2005
|
Event last processed
|
Tue May 3 13:35:20 2005
|
Method selected
|
RH08
|
Propagation delay to Earth [minutes]
|
0.008 ± 0.000
|
Asymptotic
plasma
parameters (About, Top)
|
Parameter
|
Upstream
|
Downstream
|
| Vx GSE [km/s] |
-387.0 ± 1.5 |
-435.4 ± 1.6 |
| Vy GSE [km/s] |
-6.9 ± 1.0 |
-24.3 ± 5.3 |
| Vz GSE [km/s] |
-3.8 ± 4.5 |
-12.1 ± 6.2 |
| Wi [km/s] |
42.2 ± 1.4 |
51.4 ± 0.7 |
| We [km/s] |
1334.1 ± 44.3 |
1625.6 ± 20.9 |
| Ni [n/cc] |
6.5 ± 0.3 |
15.6 ± 0.8 |
| Bx GSE [nT] |
-4.7 ± 0.2 |
-4.9 ± 0.9 |
| By GSE [nT] |
2.3 ± 0.3 |
5.1 ± 0.7 |
| Bz GSE [nT] |
-0.9 ± 0.8 |
-2.9 ± 2.2 |
Plasma Beta
|
0.845 ± 0.852
|
1.368 ± 1.443
|
Sound Speed [km/s]
|
54.47 ± 1.81
|
66.36 ± 0.85
|
Alfven Speed [km/s]
|
45.95 ± 1.13
|
44.09 ± 2.30
|
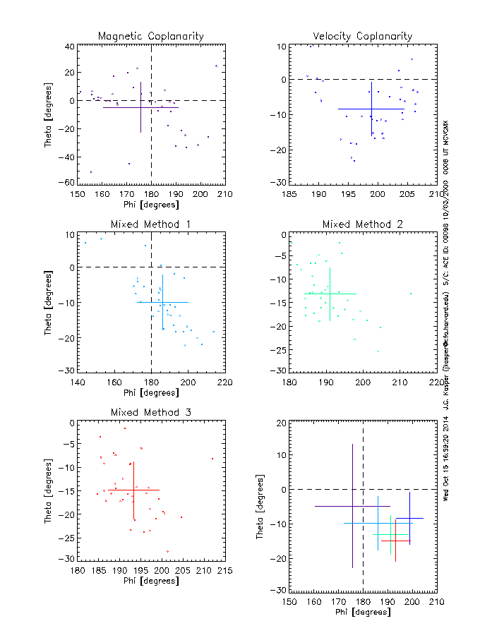
Best values of
shock
front normal for each method (About, Top)
| Method |
Nx |
Ny |
Nz |
Theta [degrees] |
Phi [degrees] |
| MC |
-0.993 ± 0.033 |
0.079 ± 0.259 |
-0.089 ± 0.089 |
-5.10 ± 17.00 |
175.44 ± 14.92 |
| VC |
-0.931 ± 0.038 |
-0.332 ± 0.091 |
-0.154 ± 0.153 |
-8.87 ± 7.65 |
199.61 ± 5.59 |
| MX1 |
-0.980 ± 0.031 |
-0.085 ± 0.229 |
-0.181 ± 0.179 |
-10.44 ± 7.55 |
184.98 ± 13.38 |
| MX2 |
-0.952 ± 0.031 |
-0.184 ± 0.106 |
-0.246 ± 0.241 |
-14.23 ± 5.60 |
190.97 ± 6.37 |
| MX3 |
-0.932 ± 0.037 |
-0.232 ± 0.094 |
-0.278 ± 0.270 |
-16.12 ± 6.15 |
193.96 ± 5.75 |
| RH08 |
-0.970 ± 0.006 |
-0.128 ± 0.023 |
-0.207 ± 0.204 |
-11.93 ± 1.42 |
187.52 ± 1.33 |
| RH09 |
-0.967 ± 0.018 |
-0.162 ± 0.070 |
-0.196 ± 0.193 |
-11.28 ± 3.96 |
189.53 ± 4.16 |
| RH10 |
-0.967 ± 0.018 |
-0.162 ± 0.070 |
-0.196 ± 0.193 |
-11.28 ± 3.96 |
189.53 ± 4.16 |
| Average |
-0.961 |
-0.151 |
-0.193 |
-11.155 |
188.942 |
| Median |
-0.967 |
-0.162 |
-0.196 |
-11.276 |
189.526 |
| Deviation |
0.022 |
0.119 |
0.057 |
3.318 |
7.009 |
Key shock
parameters (About, Top)
| Method |
ThetaBn |
Shock Speed |
Compression |
| MC |
22.6 ± 4.7 |
464.7 ± 3.8 |
2.41 ± 0.10 |
| VC |
45.3 ± 3.7 |
451.6 ± 3.3 |
2.41 ± 0.10 |
| MX1 |
31.2 ± 3.9 |
466.7 ± 3.4 |
2.41 ± 0.10 |
| MX2 |
36.9 ± 3.7 |
458.1 ± 3.6 |
2.41 ± 0.10 |
| MX3 |
39.9 ± 3.6 |
451.6 ± 3.8 |
2.41 ± 0.10 |
| RH08 |
33.6 ± 3.8 |
463.9 ± 3.5 |
2.41 ± 0.10 |
| RH09 |
35.5 ± 3.7 |
463.6 ± 3.4 |
2.41 ± 0.10 |
| RH10 |
35.5 ± 3.7 |
463.6 ± 3.4 |
2.41 ± 0.10 |
| Average |
35.1 |
460.5 |
2.41 |
| Median |
35.5 |
463.6 |
2.41 |
| Deviation |
6.6 |
6.0 |
0.00 |
Upstream wave speeds
and
mach numbers (About, Top)
|
Method
|
dV
|
Slow
|
Intermediate
|
Fast
|
Slow
Mach
|
Fast
Mach
|
| MC |
80.6 ± 1.7 |
38.5 ± 0.8 |
42.4 ± 1.0 |
60.0 ± 1.4 |
2.09 ± 0.04 |
1.35 ± 0.05 |
| VC |
88.6 ± 2.0 |
26.6 ± 0.5 |
32.3 ± 0.8 |
66.1 ± 1.4 |
3.33 ± 0.09 |
1.34 ± 0.05 |
| MX1 |
86.3 ± 2.0 |
34.3 ± 0.7 |
39.3 ± 1.0 |
62.5 ± 1.4 |
2.52 ± 0.06 |
1.38 ± 0.05 |
| MX2 |
87.6 ± 2.3 |
31.2 ± 0.6 |
36.7 ± 0.9 |
64.1 ± 1.4 |
2.81 ± 0.08 |
1.37 ± 0.05 |
| MX3 |
88.1 ± 2.4 |
29.6 ± 0.6 |
35.3 ± 0.9 |
64.8 ± 1.4 |
2.98 ± 0.09 |
1.36 ± 0.05 |
| RH8 |
86.9 ± 2.1 |
33.0 ± 0.6 |
38.3 ± 0.9 |
63.2 ± 1.4 |
2.63 ± 0.07 |
1.38 ± 0.05 |
| RH9 |
87.4 ± 2.1 |
32.0 ± 0.6 |
37.4 ± 0.9 |
63.7 ± 1.4 |
2.73 ± 0.07 |
1.37 ± 0.05 |
| RH10 |
87.4 ± 2.1 |
32.0 ± 0.6 |
37.4 ± 0.9 |
63.7 ± 1.4 |
2.73 ± 0.07 |
1.37 ± 0.05 |
| Average |
86.6 |
32.1 |
37.4 |
63.5 |
2.7 |
1.4 |
| Median |
87.4 |
32.0 |
37.4 |
63.7 |
2.7 |
1.4 |
| Deviation |
2.5 |
3.5 |
2.9 |
1.8 |
0.4 |
0.0 |
Downstream wave speeds
and
mach numbers (About, Top)
|
Method
|
dV
|
Slow
|
Intermediate
|
Fast
|
Slow
Mach
|
Fast
Mach
|
| MC |
33.3 ± 2.0 |
38.8 ± 1.8 |
40.7 ± 2.1 |
69.6 ± 1.0 |
0.86 ± 0.07 |
0.48 ± 0.03 |
| VC |
36.5 ± 2.3 |
27.5 ± 1.1 |
31.0 ± 1.6 |
74.8 ± 1.3 |
1.33 ± 0.08 |
0.49 ± 0.03 |
| MX1 |
35.9 ± 2.2 |
35.0 ± 1.5 |
37.7 ± 2.0 |
71.6 ± 1.1 |
1.03 ± 0.07 |
0.50 ± 0.03 |
| MX2 |
36.4 ± 2.5 |
32.0 ± 1.3 |
35.2 ± 1.8 |
73.0 ± 1.2 |
1.14 ± 0.08 |
0.50 ± 0.03 |
| MX3 |
36.7 ± 2.7 |
30.5 ± 1.3 |
33.8 ± 1.8 |
73.6 ± 1.3 |
1.20 ± 0.08 |
0.50 ± 0.03 |
| RH8 |
36.0 ± 2.3 |
33.8 ± 1.4 |
36.7 ± 1.9 |
72.2 ± 1.2 |
1.07 ± 0.07 |
0.50 ± 0.03 |
| RH9 |
36.2 ± 2.2 |
32.8 ± 1.4 |
35.9 ± 1.9 |
72.6 ± 1.2 |
1.11 ± 0.07 |
0.50 ± 0.03 |
| RH10 |
36.2 ± 2.2 |
32.8 ± 1.4 |
35.9 ± 1.9 |
72.6 ± 1.2 |
1.11 ± 0.07 |
0.50 ± 0.03 |
| Average |
35.9 |
32.9 |
35.9 |
72.5 |
1.1 |
0.5 |
| Median |
36.2 |
32.8 |
35.9 |
72.6 |
1.1 |
0.5 |
| Deviation |
1.1 |
3.3 |
2.8 |
1.5 |
0.1 |
0.0 |
Survey interval (About, Top)

Selected
data (About, Top)
|
Key plasma parameters

|
Velocity

|
Magnetic Field
|
Simple
Methods
(About, Top)
Rankine Chi^2
Contour (About, Top)
Shock
Speed (About, Top)

Theta Bn (About, Top)

Mach Numbers (About, Top)
Page updated Mon Apr 13 08:55:21 2009
Michael L Stevens
(mstevens@cfa.harvard.edu)
|