Disk models for a central star of 4500 K and 3 Myr

This web-page contains 192 models of circumstellar accretion disks for this central star.

The physical parameters used in these models are:

Disk Dust
Rdisk 300, 100 AU amin 0.005 mu
Rhole 11, 12, 17, 41 R* amax 1, 10, 100 mu, 1mm, 1cm, 10cm
mdot 10-9 10-8, 10-7, 10-6 Msun/yr p 3.5, 2.5
alpha 0.01 Abundances Pollack et al. 1994
inclination i (cos i) 30° (0.86), 60° (0.5) Scattering Isotropic

Browse the models

Please select the value of the physical parameters to jump to any specific model or scroll down the web-page to see a general table with all available models.

mdot = p = amax =

Other options

The stellar spectrum (a Kurucz model normalized to 140 pc) used in all model SEDs in this page can be found here

You can also consult the SED comparison plots for four mass accretion rates: 10-9, 10-8, 10-7 and 10-6 Msun/yr

Tables with structure files properties can be reached here and with S.E.D. files properties here. Contents or these tables are explained in the help.

Download all the Structure Files and the SED Files in gzipped-tar files.

Home Catalog Help Top


Mass accretion rate mdot = 10-9 Msun/yr

Explanation of tables and files contents

Structure Help
mdot Rdisk Rhole alpha Mdisk p amax Plot File
Msun/yr (AU) (R*) Msun
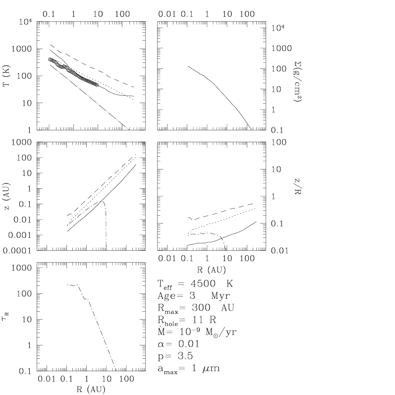
10-9 300 11 0.01 0.004 3.5 1 mu Plot File
S.E.D. Help
Rdisk cos i L* log(LIR/L*) AV log(F1.3mm) alphasubmm alphamm [3.6] [3.6]-[4.5] [4.5]-[5.8] [5.8]-[8.0] Plot File
(AU) Lsun mag Jy mag mag mag mag
300 0.5 1.60 -0.62 0.00 -2.399 3.65 3.19 7.00 0.21 0.28 0.75 Plot File
300 0.86 1.60 -0.63 0.00 -2.389 3.69 3.19 7.20 0.16 0.31 0.93 Plot File
100 0.5 1.60 -0.67 0.00 -2.626 3.71 3.20 7.01 0.21 0.29 0.74 Plot File
100 0.86 1.60 -0.67 0.00 -2.618 3.76 3.21 7.22 0.15 0.30 0.93 Plot File

Structure Help
mdot Rdisk Rhole alpha Mdisk p amax Plot File
Msun/yr (AU) (R*) Msun
10-9 300 11 0.01 0.005 3.5 10 mu Plot File
S.E.D. Help
Rdisk cos i L* log(LIR/L*) AV log(F1.3mm) alphasubmm alphamm [3.6] [3.6]-[4.5] [4.5]-[5.8] [5.8]-[8.0] Plot File
(AU) Lsun mag Jy mag mag mag mag
300 0.5 1.60 -0.64 0.00 -2.391 3.63 3.18 6.99 0.23 0.30 0.68 Plot File
300 0.86 1.60 -0.64 0.00 -2.381 3.66 3.18 7.17 0.20 0.34 0.85 Plot File
100 0.5 1.60 -0.67 0.00 -2.614 3.70 3.20 6.99 0.23 0.31 0.68 Plot File
100 0.86 1.60 -0.68 0.00 -2.607 3.75 3.20 7.19 0.20 0.34 0.84 Plot File

Structure Help
mdot Rdisk Rhole alpha Mdisk p amax Plot File
Msun/yr (AU) (R*) Msun
10-9 300 11 0.01 0.005 3.5 100 mu Plot File
S.E.D. Help
Rdisk cos i L* log(LIR/L*) AV log(F1.3mm) alphasubmm alphamm [3.6] [3.6]-[4.5] [4.5]-[5.8] [5.8]-[8.0] Plot File
(AU) Lsun mag Jy mag mag mag mag
300 0.5 1.60 -0.69 0.00 -2.138 4.15 3.07 7.02 0.22 0.32 0.66 Plot File
300 0.86 1.60 -0.69 0.00 -2.125 4.36 3.08 7.23 0.18 0.36 0.85 Plot File
100 0.5 1.60 -0.72 0.00 -2.357 4.12 3.10 7.02 0.22 0.32 0.66 Plot File
100 0.86 1.60 -0.72 0.00 -2.342 4.42 3.12 7.24 0.18 0.36 0.85 Plot File

Structure Help
mdot Rdisk Rhole alpha Mdisk p amax Plot File
Msun/yr (AU) (R*) Msun
10-9 300 11 0.01 0.007 3.5 1mm Plot File
S.E.D. Help
Rdisk cos i L* log(LIR/L*) AV log(F1.3mm) alphasubmm alphamm [3.6] [3.6]-[4.5] [4.5]-[5.8] [5.8]-[8.0] Plot File
(AU) Lsun mag Jy mag mag mag mag
300 0.5 1.60 -0.74 0.00 -1.659 2.74 2.83 7.04 0.21 0.32 0.65 Plot File
100 0.5 1.60 -0.76 0.00 -1.899 2.82 2.84 7.04 0.21 0.32 0.65 Plot File
100 0.86 1.60 -0.77 0.00 -1.792 2.88 2.94 7.26 0.17 0.37 0.85 Plot File

Structure Help
mdot Rdisk Rhole alpha Mdisk p amax Plot File
Msun/yr (AU) (R*) Msun
10-9 300 11 0.01 0.005 3.5 1cm Plot File
S.E.D. Help
Rdisk cos i L* log(LIR/L*) AV log(F1.3mm) alphasubmm alphamm [3.6] [3.6]-[4.5] [4.5]-[5.8] [5.8]-[8.0] Plot File
(AU) Lsun mag Jy mag mag mag mag
300 0.5 1.60 -0.78 0.00 -1.918 2.69 2.44 7.05 0.20 0.30 0.61 Plot File
300 0.86 1.60 -0.82 0.00 -1.869 2.73 2.47 7.27 0.16 0.35 0.81 Plot File
100 0.5 1.60 -0.79 0.00 -2.148 2.80 2.47 7.05 0.20 0.30 0.61 Plot File
100 0.86 1.60 -0.83 0.00 -2.076 2.85 2.52 7.27 0.15 0.35 0.81 Plot File

Structure Help
mdot Rdisk Rhole alpha Mdisk p amax Plot File
Msun/yr (AU) (R*) Msun
10-9 300 11 0.01 0.005 3.5 10cm Plot File
S.E.D. Help
Rdisk cos i L* log(LIR/L*) AV log(F1.3mm) alphasubmm alphamm [3.6] [3.6]-[4.5] [4.5]-[5.8] [5.8]-[8.0] Plot File
(AU) Lsun mag Jy mag mag mag mag
300 0.5 1.60 -0.83 0.00 -2.248 2.74 2.61 7.06 0.19 0.28 0.55 Plot File
300 0.86 1.60 -0.88 0.00 -2.220 2.78 2.63 7.28 0.14 0.32 0.76 Plot File
100 0.5 1.60 -0.83 0.00 -2.477 2.85 2.64 7.06 0.19 0.28 0.55 Plot File
100 0.86 1.60 -0.89 0.00 -2.437 2.90 2.66 7.28 0.14 0.32 0.76 Plot File

Structure Help
mdot Rdisk Rhole alpha Mdisk p amax Plot File
Msun/yr (AU) (R*) Msun
10-9 300 11 0.01 0.004 2.5 1 mu Plot File
S.E.D. Help
Rdisk cos i L* log(LIR/L*) AV log(F1.3mm) alphasubmm alphamm [3.6] [3.6]-[4.5] [4.5]-[5.8] [5.8]-[8.0] Plot File
(AU) Lsun mag Jy mag mag mag mag
300 0.5 1.60 -0.64 0.00 -2.401 3.64 3.19 6.98 0.21 0.28 0.72 Plot File
300 0.86 1.60 -0.64 0.00 -2.391 3.68 3.19 7.17 0.16 0.30 0.90 Plot File
100 0.5 1.60 -0.68 0.00 -2.628 3.69 3.20 6.99 0.21 0.28 0.71 Plot File
100 0.86 1.60 -0.69 0.00 -2.620 3.75 3.21 7.19 0.15 0.29 0.90 Plot File

Structure Help
mdot Rdisk Rhole alpha Mdisk p amax Plot File
Msun/yr (AU) (R*) Msun
10-9 300 11 0.01 0.005 2.5 10 mu Plot File
S.E.D. Help
Rdisk cos i L* log(LIR/L*) AV log(F1.3mm) alphasubmm alphamm [3.6] [3.6]-[4.5] [4.5]-[5.8] [5.8]-[8.0] Plot File
(AU) Lsun mag Jy mag mag mag mag
300 0.5 1.60 -0.67 0.00 -2.384 3.59 3.16 7.00 0.24 0.33 0.66 Plot File
300 0.86 1.60 -0.67 0.00 -2.375 3.63 3.16 7.19 0.21 0.38 0.84 Plot File
100 0.5 1.60 -0.70 0.00 -2.603 3.68 3.19 7.00 0.24 0.33 0.66 Plot File
100 0.86 1.60 -0.70 0.00 -2.595 3.74 3.19 7.21 0.20 0.38 0.85 Plot File

Structure Help
mdot Rdisk Rhole alpha Mdisk p amax Plot File
Msun/yr (AU) (R*) Msun
10-9 300 11 0.01 0.006 2.5 100 mu Plot File
S.E.D. Help
Rdisk cos i L* log(LIR/L*) AV log(F1.3mm) alphasubmm alphamm [3.6] [3.6]-[4.5] [4.5]-[5.8] [5.8]-[8.0] Plot File
(AU) Lsun mag Jy mag mag mag mag
300 0.5 1.60 -0.76 0.00 -2.045 4.10 3.02 7.04 0.22 0.34 0.63 Plot File
300 0.86 1.60 -0.76 0.00 -2.029 4.39 3.04 7.26 0.18 0.40 0.83 Plot File
100 0.5 1.60 -0.77 0.00 -2.254 4.04 3.06 7.04 0.22 0.34 0.63 Plot File
100 0.86 1.60 -0.78 0.00 -2.234 4.43 3.10 7.26 0.18 0.40 0.83 Plot File

Structure Help
mdot Rdisk Rhole alpha Mdisk p amax Plot File
Msun/yr (AU) (R*) Msun
10-9 300 11 0.01 0.007 2.5 1mm Plot File
S.E.D. Help
Rdisk cos i L* log(LIR/L*) AV log(F1.3mm) alphasubmm alphamm [3.6] [3.6]-[4.5] [4.5]-[5.8] [5.8]-[8.0] Plot File
(AU) Lsun mag Jy mag mag mag mag
300 0.5 1.60 -0.85 0.00 -1.621 2.33 2.49 7.06 0.18 0.28 0.52 Plot File
300 0.86 1.60 -0.90 0.00 -1.533 2.36 2.55 7.28 0.13 0.32 0.71 Plot File
100 0.5 1.60 -0.85 0.00 -1.859 2.47 2.52 7.06 0.18 0.28 0.52 Plot File
100 0.86 1.60 -0.91 0.00 -1.732 2.49 2.60 7.28 0.13 0.32 0.71 Plot File

Structure Help
mdot Rdisk Rhole alpha Mdisk p amax Plot File
Msun/yr (AU) (R*) Msun
10-9 300 11 0.01 0.007 2.5 1cm Plot File
S.E.D. Help
Rdisk cos i L* log(LIR/L*) AV log(F1.3mm) alphasubmm alphamm [3.6] [3.6]-[4.5] [4.5]-[5.8] [5.8]-[8.0] Plot File
(AU) Lsun mag Jy mag mag mag mag
300 0.5 1.60 -0.92 0.00 -2.148 2.06 2.38 7.07 0.18 0.27 0.46 Plot File
300 0.86 1.60 -1.04 0.00 -2.117 2.08 2.38 7.29 0.13 0.30 0.62 Plot File
100 0.5 1.60 -0.92 0.00 -2.374 2.24 2.42 7.07 0.18 0.26 0.46 Plot File
100 0.86 1.60 -1.04 0.00 -2.329 2.25 2.43 7.29 0.13 0.30 0.62 Plot File

Structure Help
mdot Rdisk Rhole alpha Mdisk p amax Plot File
Msun/yr (AU) (R*) Msun
10-9 300 11 0.01 0.006 2.5 10cm Plot File
S.E.D. Help
Rdisk cos i L* log(LIR/L*) AV log(F1.3mm) alphasubmm alphamm [3.6] [3.6]-[4.5] [4.5]-[5.8] [5.8]-[8.0] Plot File
(AU) Lsun mag Jy mag mag mag mag
300 0.5 1.60 -0.98 0.00 -2.720 1.63 2.33 7.07 0.16 0.21 0.30 Plot File
300 0.86 1.60 -1.19 0.00 -2.713 1.62 2.33 7.30 0.10 0.19 0.30 Plot File
100 0.5 1.60 -0.98 0.00 -2.950 1.84 2.38 7.07 0.16 0.21 0.30 Plot File
100 0.86 1.60 -1.19 0.00 -2.944 1.83 2.38 7.30 0.10 0.19 0.30 Plot File

Comparison plots for S.E.D. files with mdot = 10-9 Msun/yr are available Here

Home Catalog Help Top


Mass accretion rate mdot = 10-8 Msun/yr

Explanation of tables and files contents

Structure Help
mdot Rdisk Rhole alpha Mdisk p amax Plot File
Msun/yr (AU) (R*) Msun
10-8 300 12 0.01 0.057 3.5 1 mu Plot File
S.E.D. Help
Rdisk cos i L* log(LIR/L*) AV log(F1.3mm) alphasubmm alphamm [3.6] [3.6]-[4.5] [4.5]-[5.8] [5.8]-[8.0] Plot File
(AU) Lsun mag Jy mag mag mag mag
300 0.5 1.60 -0.50 0.11 -1.459 3.18 3.11 6.76 0.32 0.30 0.63 Plot File
300 0.86 1.60 -0.52 0.00 -1.445 3.30 3.11 7.03 0.28 0.38 0.84 Plot File
100 0.5 1.60 -0.54 0.00 -1.675 3.22 3.14 6.75 0.32 0.31 0.64 Plot File
100 0.86 1.60 -0.56 0.00 -1.659 3.39 3.15 7.02 0.28 0.38 0.84 Plot File

Structure Help
mdot Rdisk Rhole alpha Mdisk p amax Plot File
Msun/yr (AU) (R*) Msun
10-8 300 12 0.01 0.057 3.5 10 mu Plot File
S.E.D. Help
Rdisk cos i L* log(LIR/L*) AV log(F1.3mm) alphasubmm alphamm [3.6] [3.6]-[4.5] [4.5]-[5.8] [5.8]-[8.0] Plot File
(AU) Lsun mag Jy mag mag mag mag
300 0.5 1.60 -0.51 0.02 -1.443 3.17 3.10 6.74 0.32 0.25 0.64 Plot File
300 0.86 1.60 -0.52 0.00 -1.428 3.30 3.11 6.99 0.30 0.34 0.82 Plot File
100 0.5 1.60 -0.54 0.00 -1.663 3.19 3.13 6.73 0.32 0.26 0.64 Plot File
100 0.86 1.60 -0.57 0.00 -1.646 3.37 3.14 7.01 0.29 0.35 0.83 Plot File

Structure Help
mdot Rdisk Rhole alpha Mdisk p amax Plot File
Msun/yr (AU) (R*) Msun
10-8 300 12 0.01 0.058 3.5 100 mu Plot File
S.E.D. Help
Rdisk cos i L* log(LIR/L*) AV log(F1.3mm) alphasubmm alphamm [3.6] [3.6]-[4.5] [4.5]-[5.8] [5.8]-[8.0] Plot File
(AU) Lsun mag Jy mag mag mag mag
300 0.5 1.60 -0.55 0.00 -1.196 3.33 2.98 6.79 0.29 0.27 0.60 Plot File
300 0.86 1.60 -0.55 0.00 -1.163 3.68 3.03 7.04 0.27 0.35 0.80 Plot File
100 0.5 1.60 -0.59 0.00 -1.424 2.97 2.99 6.79 0.29 0.28 0.61 Plot File
100 0.86 1.60 -0.62 0.00 -1.380 3.39 3.08 7.08 0.26 0.36 0.81 Plot File

Structure Help
mdot Rdisk Rhole alpha Mdisk p amax Plot File
Msun/yr (AU) (R*) Msun
10-8 300 12 0.01 0.061 3.5 1mm Plot File
S.E.D. Help
Rdisk cos i L* log(LIR/L*) AV log(F1.3mm) alphasubmm alphamm [3.6] [3.6]-[4.5] [4.5]-[5.8] [5.8]-[8.0] Plot File
(AU) Lsun mag Jy mag mag mag mag
300 0.5 1.60 -0.61 0.00 -0.814 2.21 2.65 6.84 0.27 0.28 0.57 Plot File
300 0.86 1.60 -0.63 0.00 -0.648 2.26 2.78 7.11 0.23 0.37 0.78 Plot File
100 0.5 1.60 -0.64 0.00 -1.127 2.18 2.58 6.84 0.27 0.28 0.57 Plot File
100 0.86 1.60 -0.67 0.00 -0.893 2.19 2.73 7.12 0.22 0.36 0.78 Plot File

Structure Help
mdot Rdisk Rhole alpha Mdisk p amax Plot File
Msun/yr (AU) (R*) Msun
10-8 300 12 0.01 0.058 3.5 1cm Plot File
S.E.D. Help
Rdisk cos i L* log(LIR/L*) AV log(F1.3mm) alphasubmm alphamm [3.6] [3.6]-[4.5] [4.5]-[5.8] [5.8]-[8.0] Plot File
(AU) Lsun mag Jy mag mag mag mag
300 0.5 1.60 -0.66 0.00 -1.028 2.32 2.34 6.89 0.24 0.30 0.53 Plot File
300 0.86 1.60 -0.68 0.00 -0.906 2.37 2.40 7.16 0.20 0.36 0.75 Plot File
100 0.5 1.60 -0.69 0.00 -1.312 2.35 2.34 6.90 0.24 0.30 0.53 Plot File
100 0.86 1.60 -0.72 0.00 -1.131 2.39 2.42 7.16 0.19 0.36 0.75 Plot File

Structure Help
mdot Rdisk Rhole alpha Mdisk p amax Plot File
Msun/yr (AU) (R*) Msun
10-8 300 12 0.01 0.056 3.5 10cm Plot File
S.E.D. Help
Rdisk cos i L* log(LIR/L*) AV log(F1.3mm) alphasubmm alphamm [3.6] [3.6]-[4.5] [4.5]-[5.8] [5.8]-[8.0] Plot File
(AU) Lsun mag Jy mag mag mag mag
300 0.5 1.60 -0.69 0.00 -1.323 2.47 2.54 6.92 0.23 0.30 0.54 Plot File
300 0.86 1.60 -0.72 0.00 -1.245 2.52 2.57 7.18 0.19 0.36 0.77 Plot File
100 0.5 1.60 -0.71 0.00 -1.576 2.55 2.55 6.92 0.23 0.30 0.54 Plot File
100 0.86 1.60 -0.74 0.00 -1.459 2.61 2.60 7.18 0.19 0.36 0.77 Plot File

Structure Help
mdot Rdisk Rhole alpha Mdisk p amax Plot File
Msun/yr (AU) (R*) Msun
10-8 300 12 0.01 0.058 2.5 1 mu Plot File
S.E.D. Help
Rdisk cos i L* log(LIR/L*) AV log(F1.3mm) alphasubmm alphamm [3.6] [3.6]-[4.5] [4.5]-[5.8] [5.8]-[8.0] Plot File
(AU) Lsun mag Jy mag mag mag mag
300 0.5 1.60 -0.51 0.09 -1.463 3.15 3.10 6.74 0.33 0.29 0.61 Plot File
300 0.86 1.60 -0.53 0.00 -1.448 3.27 3.10 7.00 0.28 0.36 0.81 Plot File
100 0.5 1.60 -0.54 0.00 -1.677 3.19 3.13 6.73 0.32 0.30 0.61 Plot File
100 0.86 1.60 -0.57 0.00 -1.661 3.36 3.14 7.00 0.27 0.36 0.82 Plot File

Structure Help
mdot Rdisk Rhole alpha Mdisk p amax Plot File
Msun/yr (AU) (R*) Msun
10-8 300 12 0.01 0.057 2.5 10 mu Plot File
S.E.D. Help
Rdisk cos i L* log(LIR/L*) AV log(F1.3mm) alphasubmm alphamm [3.6] [3.6]-[4.5] [4.5]-[5.8] [5.8]-[8.0] Plot File
(AU) Lsun mag Jy mag mag mag mag
300 0.5 1.60 -0.53 0.00 -1.428 3.15 3.10 6.74 0.32 0.26 0.59 Plot File
300 0.86 1.60 -0.55 0.00 -1.413 3.28 3.11 7.00 0.30 0.35 0.79 Plot File
100 0.5 1.60 -0.57 0.00 -1.650 3.16 3.13 6.74 0.31 0.27 0.59 Plot File
100 0.86 1.60 -0.60 0.00 -1.633 3.36 3.14 7.03 0.29 0.36 0.79 Plot File

Structure Help
mdot Rdisk Rhole alpha Mdisk p amax Plot File
Msun/yr (AU) (R*) Msun
10-8 300 12 0.01 0.062 2.5 100 mu Plot File
S.E.D. Help
Rdisk cos i L* log(LIR/L*) AV log(F1.3mm) alphasubmm alphamm [3.6] [3.6]-[4.5] [4.5]-[5.8] [5.8]-[8.0] Plot File
(AU) Lsun mag Jy mag mag mag mag
300 0.5 1.60 -0.63 0.00 -1.103 3.14 2.91 6.85 0.27 0.29 0.54 Plot File
300 0.86 1.60 -0.63 0.00 -1.057 3.53 3.01 7.11 0.23 0.39 0.75 Plot File
100 0.5 1.60 -0.66 0.00 -1.335 2.71 2.92 6.85 0.26 0.30 0.54 Plot File
100 0.86 1.60 -0.69 0.00 -1.267 3.07 3.07 7.14 0.22 0.39 0.76 Plot File

Structure Help
mdot Rdisk Rhole alpha Mdisk p amax Plot File
Msun/yr (AU) (R*) Msun
10-8 300 12 0.01 0.071 2.5 1mm Plot File
S.E.D. Help
Rdisk cos i L* log(LIR/L*) AV log(F1.3mm) alphasubmm alphamm [3.6] [3.6]-[4.5] [4.5]-[5.8] [5.8]-[8.0] Plot File
(AU) Lsun mag Jy mag mag mag mag
300 0.5 1.60 -0.70 0.00 -0.786 1.90 2.34 6.93 0.23 0.31 0.57 Plot File
300 0.86 1.60 -0.71 0.00 -0.595 1.91 2.43 7.18 0.20 0.39 0.81 Plot File
100 0.5 1.60 -0.71 0.00 -1.097 2.05 2.34 6.93 0.23 0.31 0.57 Plot File
100 0.86 1.60 -0.72 0.00 -0.843 2.02 2.42 7.18 0.20 0.39 0.81 Plot File

Structure Help
mdot Rdisk Rhole alpha Mdisk p amax Plot File
Msun/yr (AU) (R*) Msun
10-8 300 12 0.01 0.071 2.5 1cm Plot File
S.E.D. Help
Rdisk cos i L* log(LIR/L*) AV log(F1.3mm) alphasubmm alphamm [3.6] [3.6]-[4.5] [4.5]-[5.8] [5.8]-[8.0] Plot File
(AU) Lsun mag Jy mag mag mag mag
300 0.5 1.60 -0.76 0.00 -1.232 1.86 2.32 6.95 0.21 0.30 0.54 Plot File
300 0.86 1.60 -0.81 0.00 -1.147 1.89 2.33 7.19 0.19 0.39 0.79 Plot File
100 0.5 1.60 -0.77 0.00 -1.484 2.02 2.36 6.95 0.21 0.30 0.53 Plot File
100 0.86 1.60 -0.81 0.00 -1.357 2.04 2.37 7.19 0.19 0.38 0.79 Plot File

Structure Help
mdot Rdisk Rhole alpha Mdisk p amax Plot File
Msun/yr (AU) (R*) Msun
10-8 300 12 0.01 0.082 2.5 10cm Plot File
S.E.D. Help
Rdisk cos i L* log(LIR/L*) AV log(F1.3mm) alphasubmm alphamm [3.6] [3.6]-[4.5] [4.5]-[5.8] [5.8]-[8.0] Plot File
(AU) Lsun mag Jy mag mag mag mag
300 0.5 1.60 -0.82 0.00 -1.807 1.44 2.24 6.95 0.20 0.27 0.46 Plot File
300 0.86 1.60 -0.95 0.00 -1.777 1.45 2.24 7.20 0.16 0.31 0.63 Plot File
100 0.5 1.60 -0.82 0.00 -2.024 1.65 2.31 6.95 0.20 0.27 0.46 Plot File
100 0.86 1.60 -0.95 0.00 -1.986 1.66 2.31 7.20 0.16 0.31 0.63 Plot File

Comparison plots for S.E.D. files with mdot = 10-8 Msun/yr are available Here

Home Catalog Help Top


Mass accretion rate mdot = 10-7 Msun/yr

Explanation of tables and files contents

Structure Help
mdot Rdisk Rhole alpha Mdisk p amax Plot File
Msun/yr (AU) (R*) Msun
10-7 300 17 0.01 0.600 3.5 1 mu Plot File
S.E.D. Help
Rdisk cos i L* log(LIR/L*) AV log(F1.3mm) alphasubmm alphamm [3.6] [3.6]-[4.5] [4.5]-[5.8] [5.8]-[8.0] Plot File
(AU) Lsun mag Jy mag mag mag mag
300 0.5 1.60 -0.18 0.28 -0.546 2.29 2.97 6.05 0.53 0.40 0.63 Plot File
300 0.86 1.60 -0.19 0.00 -0.507 2.56 3.02 6.39 0.63 0.66 0.82 Plot File
100 0.5 1.60 -0.19 0.00 -0.795 2.12 2.96 6.02 0.52 0.41 0.63 Plot File
100 0.86 1.60 -0.21 0.00 -0.740 2.48 3.04 6.37 0.63 0.65 0.82 Plot File

Structure Help
mdot Rdisk Rhole alpha Mdisk p amax Plot File
Msun/yr (AU) (R*) Msun
10-7 300 17 0.01 0.603 3.5 10 mu Plot File
S.E.D. Help
Rdisk cos i L* log(LIR/L*) AV log(F1.3mm) alphasubmm alphamm [3.6] [3.6]-[4.5] [4.5]-[5.8] [5.8]-[8.0] Plot File
(AU) Lsun mag Jy mag mag mag mag
300 0.5 1.60 -0.19 0.08 -0.534 2.26 2.96 6.04 0.48 0.33 0.77 Plot File
300 0.86 1.60 -0.19 0.00 -0.496 2.54 3.01 6.36 0.58 0.56 1.01 Plot File
100 0.5 1.60 -0.20 0.00 -0.784 2.07 2.95 6.01 0.48 0.33 0.77 Plot File
100 0.86 1.60 -0.22 0.00 -0.728 2.44 3.03 6.34 0.58 0.55 1.00 Plot File

Structure Help
mdot Rdisk Rhole alpha Mdisk p amax Plot File
Msun/yr (AU) (R*) Msun
10-7 300 17 0.01 0.605 3.5 100 mu Plot File
S.E.D. Help
Rdisk cos i L* log(LIR/L*) AV log(F1.3mm) alphasubmm alphamm [3.6] [3.6]-[4.5] [4.5]-[5.8] [5.8]-[8.0] Plot File
(AU) Lsun mag Jy mag mag mag mag
300 0.5 1.60 -0.19 0.01 -0.333 1.76 2.73 5.96 0.45 0.39 0.65 Plot File
300 0.86 1.60 -0.20 0.00 -0.241 1.98 2.92 6.30 0.53 0.59 0.93 Plot File
100 0.5 1.60 -0.21 0.00 -0.620 1.30 2.65 5.95 0.45 0.38 0.65 Plot File
100 0.86 1.60 -0.23 0.00 -0.482 1.35 2.93 6.28 0.53 0.58 0.93 Plot File

Structure Help
mdot Rdisk Rhole alpha Mdisk p amax Plot File
Msun/yr (AU) (R*) Msun
10-7 300 17 0.01 0.635 3.5 1mm Plot File
S.E.D. Help
Rdisk cos i L* log(LIR/L*) AV log(F1.3mm) alphasubmm alphamm [3.6] [3.6]-[4.5] [4.5]-[5.8] [5.8]-[8.0] Plot File
(AU) Lsun mag Jy mag mag mag mag
300 0.5 1.60 -0.21 0.00 -0.223 1.37 2.20 5.98 0.41 0.38 0.63 Plot File
300 0.86 1.60 -0.23 0.00 0.058 1.28 2.28 6.33 0.51 0.56 0.92 Plot File
100 0.5 1.60 -0.21 0.00 -0.767 1.64 1.94 5.97 0.42 0.37 0.63 Plot File
100 0.86 1.60 -0.25 0.00 -0.475 1.58 1.90 6.32 0.51 0.56 0.91 Plot File

Structure Help
mdot Rdisk Rhole alpha Mdisk p amax Plot File
Msun/yr (AU) (R*) Msun
10-7 300 17 0.01 0.642 3.5 1cm Plot File
S.E.D. Help
Rdisk cos i L* log(LIR/L*) AV log(F1.3mm) alphasubmm alphamm [3.6] [3.6]-[4.5] [4.5]-[5.8] [5.8]-[8.0] Plot File
(AU) Lsun mag Jy mag mag mag mag
300 0.5 1.60 -0.24 0.00 -0.333 1.58 2.10 6.05 0.40 0.38 0.62 Plot File
300 0.86 1.60 -0.25 0.00 -0.086 1.53 2.16 6.36 0.49 0.56 0.90 Plot File
100 0.5 1.60 -0.24 0.00 -0.785 1.67 2.01 6.03 0.40 0.38 0.62 Plot File
100 0.86 1.60 -0.27 0.00 -0.494 1.61 2.02 6.37 0.49 0.56 0.90 Plot File

Structure Help
mdot Rdisk Rhole alpha Mdisk p amax Plot File
Msun/yr (AU) (R*) Msun
10-7 300 17 0.01 0.621 3.5 10cm Plot File
S.E.D. Help
Rdisk cos i L* log(LIR/L*) AV log(F1.3mm) alphasubmm alphamm [3.6] [3.6]-[4.5] [4.5]-[5.8] [5.8]-[8.0] Plot File
(AU) Lsun mag Jy mag mag mag mag
300 0.5 1.60 -0.27 0.00 -0.523 1.90 2.36 6.11 0.39 0.38 0.61 Plot File
300 0.86 1.60 -0.28 0.00 -0.343 1.93 2.41 6.41 0.46 0.58 0.88 Plot File
100 0.5 1.60 -0.27 0.00 -0.881 1.90 2.30 6.09 0.39 0.38 0.60 Plot File
100 0.86 1.60 -0.29 0.00 -0.630 1.89 2.35 6.41 0.47 0.56 0.88 Plot File

Structure Help
mdot Rdisk Rhole alpha Mdisk p amax Plot File
Msun/yr (AU) (R*) Msun
10-7 300 17 0.01 0.616 2.5 1 mu Plot File
S.E.D. Help
Rdisk cos i L* log(LIR/L*) AV log(F1.3mm) alphasubmm alphamm [3.6] [3.6]-[4.5] [4.5]-[5.8] [5.8]-[8.0] Plot File
(AU) Lsun mag Jy mag mag mag mag
300 0.5 1.60 -0.19 0.24 -0.552 2.24 2.96 6.07 0.53 0.40 0.64 Plot File
300 0.86 1.60 -0.20 0.00 -0.513 2.52 3.01 6.41 0.62 0.65 0.87 Plot File
100 0.5 1.60 -0.20 0.00 -0.799 2.08 2.95 6.03 0.52 0.41 0.65 Plot File
100 0.86 1.60 -0.22 0.00 -0.742 2.44 3.03 6.38 0.62 0.64 0.86 Plot File

Structure Help
mdot Rdisk Rhole alpha Mdisk p amax Plot File
Msun/yr (AU) (R*) Msun
10-7 300 17 0.01 0.608 2.5 10 mu Plot File
S.E.D. Help
Rdisk cos i L* log(LIR/L*) AV log(F1.3mm) alphasubmm alphamm [3.6] [3.6]-[4.5] [4.5]-[5.8] [5.8]-[8.0] Plot File
(AU) Lsun mag Jy mag mag mag mag
300 0.5 1.60 -0.19 0.01 -0.522 2.22 2.95 6.02 0.48 0.32 0.75 Plot File
300 0.86 1.60 -0.20 0.00 -0.483 2.51 3.01 6.33 0.58 0.54 1.01 Plot File
100 0.5 1.60 -0.21 0.00 -0.774 2.01 2.94 6.00 0.48 0.32 0.75 Plot File
100 0.86 1.60 -0.23 0.00 -0.716 2.39 3.02 6.31 0.58 0.53 1.00 Plot File

Structure Help
mdot Rdisk Rhole alpha Mdisk p amax Plot File
Msun/yr (AU) (R*) Msun
10-7 300 17 0.01 0.619 2.5 100 mu Plot File
S.E.D. Help
Rdisk cos i L* log(LIR/L*) AV log(F1.3mm) alphasubmm alphamm [3.6] [3.6]-[4.5] [4.5]-[5.8] [5.8]-[8.0] Plot File
(AU) Lsun mag Jy mag mag mag mag
300 0.5 1.60 -0.21 0.00 -0.279 1.54 2.59 6.00 0.42 0.39 0.62 Plot File
300 0.86 1.60 -0.22 0.00 -0.150 1.63 2.87 6.30 0.51 0.56 0.89 Plot File
100 0.5 1.60 -0.22 0.00 -0.598 1.25 2.44 5.97 0.42 0.39 0.61 Plot File
100 0.86 1.60 -0.25 0.00 -0.407 1.19 2.85 6.29 0.51 0.56 0.88 Plot File

Structure Help
mdot Rdisk Rhole alpha Mdisk p amax Plot File
Msun/yr (AU) (R*) Msun
10-7 300 17 0.01 0.656 2.5 1mm Plot File
S.E.D. Help
Rdisk cos i L* log(LIR/L*) AV log(F1.3mm) alphasubmm alphamm [3.6] [3.6]-[4.5] [4.5]-[5.8] [5.8]-[8.0] Plot File
(AU) Lsun mag Jy mag mag mag mag
300 0.5 1.60 -0.28 0.00 -0.214 1.32 2.01 6.12 0.39 0.39 0.59 Plot File
300 0.86 1.60 -0.28 0.00 0.076 1.26 2.03 6.40 0.48 0.56 0.86 Plot File
100 0.5 1.60 -0.29 0.00 -0.775 1.71 1.93 6.11 0.39 0.39 0.59 Plot File
100 0.86 1.60 -0.30 0.00 -0.484 1.67 1.90 6.39 0.47 0.56 0.86 Plot File

Structure Help
mdot Rdisk Rhole alpha Mdisk p amax Plot File
Msun/yr (AU) (R*) Msun
10-7 300 17 0.01 0.733 2.5 1cm Plot File
S.E.D. Help
Rdisk cos i L* log(LIR/L*) AV log(F1.3mm) alphasubmm alphamm [3.6] [3.6]-[4.5] [4.5]-[5.8] [5.8]-[8.0] Plot File
(AU) Lsun mag Jy mag mag mag mag
300 0.5 1.60 -0.37 0.00 -0.458 1.41 2.17 6.29 0.37 0.40 0.60 Plot File
300 0.86 1.60 -0.37 0.00 -0.265 1.43 2.17 6.56 0.47 0.59 0.88 Plot File
100 0.5 1.60 -0.37 0.00 -0.820 1.67 2.19 6.28 0.38 0.40 0.60 Plot File
100 0.86 1.60 -0.38 0.00 -0.565 1.64 2.18 6.56 0.47 0.59 0.88 Plot File

Structure Help
mdot Rdisk Rhole alpha Mdisk p amax Plot File
Msun/yr (AU) (R*) Msun
10-7 300 17 0.01 0.728 2.5 10cm Plot File
S.E.D. Help
Rdisk cos i L* log(LIR/L*) AV log(F1.3mm) alphasubmm alphamm [3.6] [3.6]-[4.5] [4.5]-[5.8] [5.8]-[8.0] Plot File
(AU) Lsun mag Jy mag mag mag mag
300 0.5 1.60 -0.42 0.00 -0.884 1.29 2.20 6.34 0.35 0.38 0.58 Plot File
300 0.86 1.60 -0.44 0.00 -0.809 1.34 2.20 6.64 0.43 0.57 0.87 Plot File
100 0.5 1.60 -0.42 0.00 -1.147 1.52 2.26 6.34 0.35 0.38 0.58 Plot File
100 0.86 1.60 -0.45 0.00 -1.034 1.55 2.25 6.64 0.43 0.57 0.87 Plot File

Comparison plots for S.E.D. files with mdot = 10-7 Msun/yr are available Here

Home Catalog Help Top


Mass accretion rate mdot = 10-6 Msun/yr

Explanation of tables and files contents

Structure Help
mdot Rdisk Rhole alpha Mdisk p amax Plot File
Msun/yr (AU) (R*) Msun
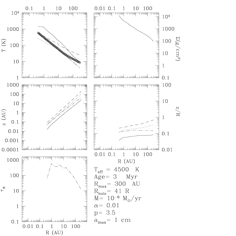
10-6 300 41 0.01 5.441 3.5 1 mu Plot File
S.E.D. Help
Rdisk cos i L* log(LIR/L*) AV log(F1.3mm) alphasubmm alphamm [3.6] [3.6]-[4.5] [4.5]-[5.8] [5.8]-[8.0] Plot File
(AU) Lsun mag Jy mag mag mag mag
300 0.5 1.60 0.65 0.60 0.214 1.02 2.57 3.87 0.55 0.32 0.54 Plot File
300 0.86 1.60 0.54 0.00 0.333 1.27 2.76 4.37 0.63 0.50 0.73 Plot File
100 0.5 1.60 0.66 0.00 -0.126 1.03 2.44 3.84 0.54 0.32 0.55 Plot File
100 0.86 1.60 0.53 0.00 0.038 1.19 2.70 4.39 0.63 0.52 0.73 Plot File

Structure Help
mdot Rdisk Rhole alpha Mdisk p amax Plot File
Msun/yr (AU) (R*) Msun
10-6 300 41 0.01 5.557 3.5 10 mu Plot File
S.E.D. Help
Rdisk cos i L* log(LIR/L*) AV log(F1.3mm) alphasubmm alphamm [3.6] [3.6]-[4.5] [4.5]-[5.8] [5.8]-[8.0] Plot File
(AU) Lsun mag Jy mag mag mag mag
300 0.5 1.60 0.65 0.19 0.216 0.94 2.54 3.87 0.52 0.25 0.61 Plot File
300 0.86 1.60 0.53 0.00 0.339 1.19 2.74 4.37 0.60 0.41 0.87 Plot File
100 0.5 1.60 0.66 0.00 -0.121 0.95 2.42 3.85 0.52 0.26 0.62 Plot File
100 0.86 1.60 0.53 0.00 0.049 1.13 2.69 4.37 0.60 0.42 0.86 Plot File

Structure Help
mdot Rdisk Rhole alpha Mdisk p amax Plot File
Msun/yr (AU) (R*) Msun
10-6 300 41 0.01 5.618 3.5 100 mu Plot File
S.E.D. Help
Rdisk cos i L* log(LIR/L*) AV log(F1.3mm) alphasubmm alphamm [3.6] [3.6]-[4.5] [4.5]-[5.8] [5.8]-[8.0] Plot File
(AU) Lsun mag Jy mag mag mag mag
300 0.5 1.60 0.65 0.01 0.242 0.44 1.96 3.87 0.52 0.25 0.59 Plot File
300 0.86 1.60 0.52 0.00 0.490 0.28 2.44 4.40 0.60 0.43 0.85 Plot File
100 0.5 1.60 0.65 0.00 -0.084 0.47 1.86 3.86 0.52 0.26 0.60 Plot File
100 0.86 1.60 0.52 0.00 0.202 0.27 2.38 4.38 0.60 0.42 0.84 Plot File

Structure Help
mdot Rdisk Rhole alpha Mdisk p amax Plot File
Msun/yr (AU) (R*) Msun
10-6 300 41 0.01 4.853 3.5 1mm Plot File
S.E.D. Help
Rdisk cos i L* log(LIR/L*) AV log(F1.3mm) alphasubmm alphamm [3.6] [3.6]-[4.5] [4.5]-[5.8] [5.8]-[8.0] Plot File
(AU) Lsun mag Jy mag mag mag mag
300 0.5 1.60 0.65 0.01 -0.088 1.10 1.65 3.85 0.51 0.31 0.51 Plot File
300 0.86 1.60 0.52 0.00 0.186 1.07 1.57 4.36 0.58 0.47 0.76 Plot File
100 0.5 1.60 0.64 0.00 -0.612 1.56 1.74 3.87 0.52 0.32 0.53 Plot File
100 0.86 1.60 0.52 0.00 -0.361 1.55 1.65 4.36 0.58 0.47 0.75 Plot File

Structure Help
mdot Rdisk Rhole alpha Mdisk p amax Plot File
Msun/yr (AU) (R*) Msun
10-6 300 41 0.01 5.422 3.5 1cm Plot File
S.E.D. Help
Rdisk cos i L* log(LIR/L*) AV log(F1.3mm) alphasubmm alphamm [3.6] [3.6]-[4.5] [4.5]-[5.8] [5.8]-[8.0] Plot File
(AU) Lsun mag Jy mag mag mag mag
300 0.5 1.60 0.65 0.00 -0.068 1.13 1.71 3.83 0.47 0.32 0.47 Plot File
300 0.86 1.60 0.52 0.00 0.211 1.09 1.67 4.35 0.53 0.46 0.74 Plot File
100 0.5 1.60 0.64 0.00 -0.633 1.58 1.81 3.84 0.47 0.33 0.48 Plot File
100 0.86 1.60 0.51 0.00 -0.354 1.55 1.77 4.36 0.53 0.46 0.74 Plot File

Structure Help
mdot Rdisk Rhole alpha Mdisk p amax Plot File
Msun/yr (AU) (R*) Msun
10-6 300 41 0.01 5.932 3.5 10cm Plot File
S.E.D. Help
Rdisk cos i L* log(LIR/L*) AV log(F1.3mm) alphasubmm alphamm [3.6] [3.6]-[4.5] [4.5]-[5.8] [5.8]-[8.0] Plot File
(AU) Lsun mag Jy mag mag mag mag
300 0.5 1.60 0.62 0.00 -0.061 1.20 1.93 3.89 0.45 0.33 0.47 Plot File
300 0.86 1.60 0.50 0.00 0.229 1.12 1.93 4.39 0.52 0.46 0.73 Plot File
100 0.5 1.60 0.62 0.00 -0.624 1.59 1.91 3.90 0.46 0.34 0.48 Plot File
100 0.86 1.60 0.49 0.00 -0.317 1.54 1.87 4.42 0.52 0.47 0.73 Plot File

Structure Help
mdot Rdisk Rhole alpha Mdisk p amax Plot File
Msun/yr (AU) (R*) Msun
10-6 300 41 0.01 5.574 2.5 1 mu Plot File
S.E.D. Help
Rdisk cos i L* log(LIR/L*) AV log(F1.3mm) alphasubmm alphamm [3.6] [3.6]-[4.5] [4.5]-[5.8] [5.8]-[8.0] Plot File
(AU) Lsun mag Jy mag mag mag mag
300 0.5 1.60 0.64 0.53 0.206 0.97 2.55 3.88 0.55 0.30 0.58 Plot File
300 0.86 1.60 0.53 0.00 0.327 1.22 2.75 4.39 0.62 0.48 0.79 Plot File
100 0.5 1.60 0.66 0.00 -0.130 1.00 2.43 3.85 0.53 0.30 0.58 Plot File
100 0.86 1.60 0.52 0.00 0.035 1.17 2.69 4.40 0.62 0.49 0.79 Plot File

Structure Help
mdot Rdisk Rhole alpha Mdisk p amax Plot File
Msun/yr (AU) (R*) Msun
10-6 300 41 0.01 5.880 2.5 10 mu Plot File
S.E.D. Help
Rdisk cos i L* log(LIR/L*) AV log(F1.3mm) alphasubmm alphamm [3.6] [3.6]-[4.5] [4.5]-[5.8] [5.8]-[8.0] Plot File
(AU) Lsun mag Jy mag mag mag mag
300 0.5 1.60 0.66 0.03 0.203 0.80 2.49 3.84 0.51 0.24 0.59 Plot File
300 0.86 1.60 0.53 0.00 0.333 1.04 2.70 4.36 0.59 0.40 0.86 Plot File
100 0.5 1.60 0.65 0.00 -0.120 0.86 2.39 3.85 0.51 0.25 0.60 Plot File
100 0.86 1.60 0.53 0.00 0.052 1.04 2.67 4.35 0.59 0.40 0.85 Plot File

Structure Help
mdot Rdisk Rhole alpha Mdisk p amax Plot File
Msun/yr (AU) (R*) Msun
10-6 300 41 0.01 6.071 2.5 100 mu Plot File
S.E.D. Help
Rdisk cos i L* log(LIR/L*) AV log(F1.3mm) alphasubmm alphamm [3.6] [3.6]-[4.5] [4.5]-[5.8] [5.8]-[8.0] Plot File
(AU) Lsun mag Jy mag mag mag mag
300 0.5 1.60 0.67 0.00 0.137 0.29 1.49 3.79 0.47 0.31 0.49 Plot File
300 0.86 1.60 0.53 0.00 0.447 0.15 2.06 4.31 0.54 0.46 0.74 Plot File
100 0.5 1.60 0.67 0.00 -0.178 0.54 1.47 3.80 0.47 0.31 0.49 Plot File
100 0.86 1.60 0.54 0.00 0.143 0.41 1.98 4.27 0.54 0.45 0.73 Plot File

Structure Help
mdot Rdisk Rhole alpha Mdisk p amax Plot File
Msun/yr (AU) (R*) Msun
10-6 300 41 0.01 5.201 2.5 1mm Plot File
S.E.D. Help
Rdisk cos i L* log(LIR/L*) AV log(F1.3mm) alphasubmm alphamm [3.6] [3.6]-[4.5] [4.5]-[5.8] [5.8]-[8.0] Plot File
(AU) Lsun mag Jy mag mag mag mag
300 0.5 1.60 0.61 0.00 -0.054 1.18 1.74 3.93 0.45 0.34 0.47 Plot File
300 0.86 1.60 0.50 0.00 0.204 1.19 1.71 4.40 0.52 0.47 0.71 Plot File
100 0.5 1.60 0.61 0.00 -0.649 1.69 1.87 3.93 0.45 0.34 0.47 Plot File
100 0.86 1.60 0.48 0.00 -0.405 1.71 1.84 4.42 0.52 0.48 0.72 Plot File

Structure Help
mdot Rdisk Rhole alpha Mdisk p amax Plot File
Msun/yr (AU) (R*) Msun
10-6 300 41 0.01 6.449 2.5 1cm Plot File
S.E.D. Help
Rdisk cos i L* log(LIR/L*) AV log(F1.3mm) alphasubmm alphamm [3.6] [3.6]-[4.5] [4.5]-[5.8] [5.8]-[8.0] Plot File
(AU) Lsun mag Jy mag mag mag mag
300 0.5 1.60 0.52 0.00 -0.030 1.06 1.90 4.15 0.45 0.37 0.48 Plot File
300 0.86 1.60 0.41 0.00 0.251 1.02 1.88 4.62 0.52 0.52 0.75 Plot File
100 0.5 1.60 0.52 0.00 -0.617 1.57 2.00 4.15 0.45 0.38 0.49 Plot File
100 0.86 1.60 0.40 0.00 -0.334 1.55 1.99 4.64 0.52 0.52 0.75 Plot File

Structure Help
mdot Rdisk Rhole alpha Mdisk p amax Plot File
Msun/yr (AU) (R*) Msun
10-6 300 41 0.01 7.523 2.5 10cm Plot File
S.E.D. Help
Rdisk cos i L* log(LIR/L*) AV log(F1.3mm) alphasubmm alphamm [3.6] [3.6]-[4.5] [4.5]-[5.8] [5.8]-[8.0] Plot File
(AU) Lsun mag Jy mag mag mag mag
300 0.5 1.60 0.47 0.00 -0.183 0.96 2.01 4.28 0.44 0.37 0.49 Plot File
300 0.86 1.60 0.37 0.00 0.003 1.02 2.01 4.75 0.52 0.53 0.77 Plot File
100 0.5 1.60 0.47 0.00 -0.590 1.38 2.06 4.28 0.44 0.37 0.50 Plot File
100 0.86 1.60 0.37 0.00 -0.342 1.39 2.05 4.75 0.52 0.52 0.77 Plot File

Comparison plots for S.E.D. files with mdot = 10-6 Msun/yr are available Here

Home Catalog Help Top


Bruno Merin
Last modified: Mon Sep 27 14:53:10 MET DST 2004