CfA OIR Division Lunch Talks
Wednesday, March 13, 2013, 11:00 am, Pratt Conference Room

A Census of Oxygen in the Local Universe

Harus Jabran Zahid (IfA, UH)

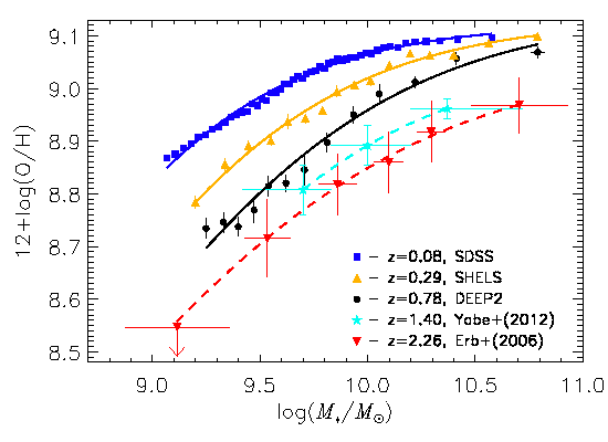
I will present recent results on the chemical evolution of star-forming Galaxies. I will begin by examining the evolution in the relation between stellar mass and metallicity over the last ~11 billion years. The mass-metallicity (MZ ) relation taken together with the relation between stellar mass and SFR can provide strong constraints on the oxygen content of star-forming galaxies. From these constraints I will show that there is a large deficit of oxygen in star-forming galaxies in the sense that the amount of oxygen thought to be produced in the galaxy is substantially greater than the amount observed in the stars and gas. By comparing my results with recent observations of the oxygen content of the hot halo of gas surrounding galaxies I conclude that the oxygen missing within galaxies resides in the hot halo. Thus star-forming galaxies must expel a substantial fraction of their gas as they evolve and increase their stellar mass.